Nissan Sentra Service Manual: Clutch piping
Exploded View

- CSC (Concentric Slave Cylinder)
- Clip
- Clutch tube
- Clutch damper
- Bracket
- Clutch master cylinder
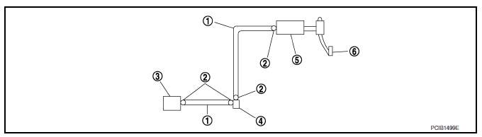
Hydraulic Layout

- Clutch tube
- Lock pin
- CSC (Concentric Slave Cylinder)
- Clutch damper
- Clutch master cylinder
- Clutch pedal
Removal and Installation
CAUTION:
Keep painted surface on the body or other parts free of clutch fluid.
If it spills, wipe up immediately
and wash the affected area with water.
NOTE:
When removing components such as hoses, tubes/lines, etc., cap or plug
openings to prevent fluid from spilling.
REMOVAL
- Drain clutch fluid. Refer to CL-7, "Draining".
- Press the lock pin into the bleeding connector of the CSC, and then
remove clutch tube from CSC.
- Pull outward on the lock pins from the connectors of the clutch damper
until the pins stop, and then
remove clutch tubes from clutch damper.
- Pull outward on the lock pin from the connector of the clutch master
cylinder until the pin stops, and then
remove clutch tube from clutch master cylinder.
INSTALLATION
Installation is in the reverse order of removal.
CAUTION:
Do not damage clutch tube.
- Insert each clutch tube into the CSC bleeding connector, the clutch
damper connector, and the clutch master
cylinder connector until it contacts the end of each connector
- Install each lock pin into the clutch damper connector and the clutch
master cylinder connector until it contacts
the end of each connector.
Inspection and Adjustment
INSPECTION AFTER REMOVAL
- Check the clutch tube for cracks and damage. If the clutch tube has
cracks or damage, replace it with a new
one.
- Check the O-ring of the clutch tube for cracks and damage. If the O-ring
of the clutch tube has cracks or
damage, replace clutch tube with a new one.
CAUTION:
Do not reuse O-rings.
- Check the clutch damper for cracks and damage. If the clutch damper has
cracks or damage, replace it with
a new one.
INSPECTION AFTER INSTALLATION
- Check the fluid leakage and the fluid level. Refer to CL-7,
"Inspection".
- Check the clutch pedal height. Refer to CL-5, "Inspection and
Adjustment".
ADJUSTMENT AFTER INSTALLATION
Perform the air bleeding procedure. Refer to CL-9, "Air Bleeding".
Exploded View
Reservoir hose
Reservoir tank
Clutch master cylinder
Removal and Installation
REMOVAL
CAUTION:
Keep painted surface on the body or other parts free of clutch
flui ...
Exploded View
Transaxle assembly
CSC (Concentric Slave Cylinder)
Removal and Installation
CAUTION:
Do not reuse CSC (Concentric Slave Cylinder). The CSC slides back
to the origina ...
Other materials:
Audio system voice commands
To access the audio system voice commands:
Press the button.
Say “Audio”
Speak a command from the following available
commands:
Play (AM, FM, etc.)
Allows user to select radio band
Tune AM (number)
Allows user to tune directly to a desired AM
frequency
Tune FM (number)
...
Auto operation does not operate but manual operate normally (driver side)
Diagnosis Procedure
1.PERFORM INITIALIZATION PROCEDURE
Initialization procedure is executed and operation is confirmed.
Refer to PWC-29, "Work Procedure".
Is the inspection result normal?
YES >> INSPECTION END
NO >> GO TO 2.
2.CHECK ENCODER CIRCUIT
Check encoder cir ...
Precautions on supplemental restraint system
This Supplemental Restraint System (SRS) section
contains important information concerning
the following systems:
Driver and passenger supplemental frontimpact
air bag (NISSAN Advanced Air Bag
System)
Front seat-mounted side-impact supplemental
air bag
Roof-mounted curtain side-impac ...
© 2014-2026 Copyright b17.nisentra.com