Diagnosis and repair work flow
Work flow
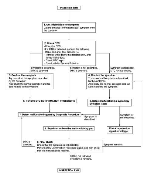
Overall sequence

Detailed flow
1.Get information for symptom
Get the detailed information from the customer about the symptom (the condition and the environment when the incident/malfunction occurred) using the “diagnostic work sheet”. (Refer to ec-129, "diagnostic work sheet".) >> Go to 2.
2.Check dtc in ecm
Are any symptoms described and any DTCs detected? Symptom is described, DTC is detected>>GO TO 3.
Symptom is described, DTC is not detected>>GO TO 4.
Symptom is not described, DTC is detected>>GO TO 5.
3.Confirm the symptom
Try to confirm the symptom described by the customer.
Also study the normal operation and fail-safe related to the symptom. Refer to ec-473, "symptom table" and ec-90, "fail safe".
Diagnosis work sheet is useful to verify the incident.
Verify relation between the symptom and the condition when the symptom is detected.
>> Go to 5.
4.Confirm the symptom
Try to confirm the symptom described by the customer.
Verify relation between the symptom and the condition when the symptom is detected.
>> Go to 6.
5.Perform dtc confirmation procedure
Perform dtc confirmation procedure for the displayed dtc, and then check that dtc is detected again.
If two or more dtcs are detected, refer to ec-93, "dtc inspection priority chart" and determine trouble diagnosis order.
Note:
If the result of Component Function Check is NG, it is the same as the detection of DTC by DTC CONFIRMATION PROCEDURE.
Is DTC detected? YES >> GO TO 7.
NO >> Check ECO mode system. Refer to DMS-20, "Component Function Check".
6.Detect malfunctioning part by symptom diagnosis
Detect malfunctioning system according to Symptom Diagnosis based on the confirmed symptom in step 4, and determine the trouble diagnosis order based on possible causes and symptoms.
Is the symptom described? YES >> GO TO 7.
NO >> Monitor input data from related sensors or check voltage of related ECM terminals using CONSULT.
Refer to EC-77, "Reference Value".
7.Detect malfunctioning part by diagnosis procedure
Inspect according to Diagnosis Procedure of the system.
Is a malfunctioning part detected? YES >> GO TO 8.
NO >> Check intermittent incident. Refer to GI-39, "Intermittent Incident".
8.Repair or replace the malfunctioning part
>> Go to 9.
9.Final check
When DTC was detected in step 3, perform DTC CONFIRMATION PROCEDURE or Component Function Check again, and then check that the malfunction have been completely repaired.
When symptom was described from the customer, refer to confirmed symptom in step 4 or 5, and check that the symptom is not detected.
Is DTC detected and does symptom remain? YES-1 >> DTC is detected: GO TO 7.
YES-2 >> Symptom remains: GO TO 4.
NO >> Before returning the vehicle to the customer, always erase DTC.
Wiring diagram
Dtc/circuit diagnosisThe light reminder warning does
not sound
Description
Light reminder warning chime does not sound even though headlamp is
illuminated.
Diagnosis procedure
1.Check combination meter input signal
Select the data monitor for the meter/m&a and check the buzzer monitor value.
Is the inspection result normal?
Yes >> replace ...
C1164, C1165, C1166, C1167 CV/SV System
DTC Logic
Dtc detection logic
DTC
Display Item
Malfunction detected condition
Possible causes
C1164
CV 1
When a malfunction is detected in cut valve 1.
Harness or connector
ABS actuator and electric unit
(control unit)
Fusible link
Battery ...
Battery saver output/power supply circuit
Description
Provides the battery saver output/power supply. Also cuts the power supply
when the interior lamp battery
saver is activated.
Component function check
1.Check battery saver output/power supply function
Consult
Turn ignition switch on.
Turn each interior lamp to the ON posit ...