Work Flow
OVERALL SEQUENCE

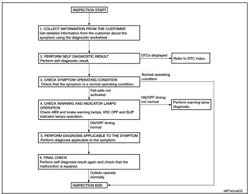
DETAILED FLOW
1.COLLECT INFORMATION FROM THE CUSTOMER
Get detailed information from the customer about the symptom (the condition and the environment when the incident/malfunction occurred) using the diagnostic worksheet. Refer to BRC-52, "Diagnostic Work Sheet".
>> GO TO 2.
2.PERFORM SELF DIAGNOSTIC RESULT
Perform self diagnostic result. Refer to BRC-31, "CONSULT Function (ABS)".
Are any DTCs displayed? YES >> Refer to BRC-43, "DTC Index".
NO >> GO TO 3.
3.CHECK SYMPTOM OPERATING CONDITION
Check that the symptom is a normal operating condition. Refer to BRC-105, "Description".
Is the symptom a normal operating condition? YES >> Inspection End.
NO >> GO TO 4.
4.CHECK WARNING AND INDICATOR LAMPS OPERATION
Check ABS and brake warning lamps, and VDC OFF and SLIP indicator lamps operation. Refer to MWI-8, "METER SYSTEM : System Description".
Is ON/OFF timing normal? YES >> GO TO 5.
NO >> Perform warning lamp diagnosis. Refer to BRC-94, "Component Function Check" (ABS warning lamp), BRC-95, "Component Function Check" (brake warning lamp), BRC-96, "Component Function Check" (VDC OFF indicator lamp) or BRC-97, "Component Function Check" (SLIP indicator lamp).
5.PERFORM DIAGNOSIS APPLICABLE TO THE SYMPTOM
Perform diagnosis applicable to the symptom. Refer to BRC-98, "Symptom Table".
>> GO TO 6.
6.FINAL CHECK
Perform self diagnostic result again, and check that the malfunction is repaired. After checking, erase the self diagnosis memory. Refer to BRC-31, "CONSULT Function (ABS)".
>> Inspection End
Diagnostic Work Sheet

Additional service when replacing abs actuator and electric unit (control unit)
Description
When replacing the ABS actuator and electric unit (control unit), perform steering angle sensor neutral position adjustment. Refer to BRC-54, "Work Procedure".
Basic inspection
Adjustment of steering angle sensor neutral positionInstrument lower panel lH
Removal and Installation
REMOVAL
Remove the instrument side finisher LH (1) using a suitable tool.
Remove the hood and fuel filler handle assembly from the instrument
lower panel LH. Refer to DLK-191,
"FUEL FILLER OPENER CABLE : Removal and Installation".
Release the ...
Help voice commands
The following voice commands can be spoken to
have the system provide instructions and tips for
using the NISSAN Voice Recognition system.
List Commands
What Can I Say?
General Help
Quit
Exit
Symptom/error message
Solution
The system responds “Command Not
Rec ...
Vehicle identification number (VIN) plate
The vehicle identification number (VIN) plate is
attached as shown. This number is the identification
for your vehicle and is used in the vehicle
registration.
Vehicle identification number (chassis number)
The vehicle identification number is located as
shown.
Engine serial number
...